강남 3구에 입지 좋은 청약들이 매달 나오고 있다.
9월에도 어김없이 나오는 좋은 청약 단지를 소개한다.
강남구 청담동에 위치한 청담르엘 청약을 알아보자!

* 청약 공급 세대수

총 149세대의 일반분양이 이루어진다.
그중에서 64세대의 특별공급과 85세대의 일반공급으로 나뉜다.
전용 59제곱미터 타입 (24평형)이 73세대가 나오고 전용 84제곱미터 타입 (34평형)이 76세대가 나와서 두 평형이 비슷한 세대수가 공급이 될 예정이다.
아무리 봐도 디에이치방배만한 대형공급이 나오기는 쉽지 않다. 그래도 이정도면 비교적 적은 편인거지 절대적으로 적은 수치는 아니다.
* 청담르엘 입지

청담르엘은 강남구 청담동에 위치해있고 한강과 붙어있는 한강조망권 단지다.
지하철 7호선 청담역이 가장 가깝다.
지하철 7호선이 요지를 다 지나가는 노선은 아니지만, 우선 강남역, 삼성역, 잠실 그리고 강건너 성수까지 물리적 거리가 매우 가깝다는 게 큰 장점이다.
* 청담르엘 단지정보

1,261세대의 꽤 큰 단지다.
용적률이 300% 긴해도 이 정도면 단지가 규모가 있는 편이라고 볼 수 있다.

평형은 24평형부터 90평형대까지 다양하게 있다.
그러나 주력은 24평/25평형 (전용 59제곱미터)과 34평형 (전용 84제곱미터) 두 가지라고 볼 수 있다.
큰 평형은 조합에서 대부분 가져간 상태다.
* 청담르엘 교통

강남구인만큼 강남역까지는 대중교통으로 30분 정도면 출퇴근이 가능하다.
참고로 삼성역은 더욱 가까워서 15분이면 가능하다.

여의도까지는 40분 정도면 출퇴근이 가능하다.
봉은사역에서 9호선 급행으로 가면 되기에 생각보다 시간이 오래 소요되지 않고 환승이 없다.

광화문/을지로/종로 지역도 약 40분 내외로 출퇴근이 가능하다.
7호선이 있는 곳이라 대중교통을 타면 대부분 환승이 필요하긴 해도 절대적인 시간이 매우 훌륭하다.
* 청담르엘 학군

큰 길을 건너야 하긴 하지만 큰길 하나만 건너면 바로 초등학교와 중학교가 모두 있다.
봉은초와 봉은중학교가 약 도보 5분거리라 매우 인접해 있다.
강남서초 학군이 좋은데 봉은중은 그 내부 중에서는 상대적으로 밀리는 것은 사실이다. 하지만 여전히 타 지역 학군에 비하면 매우 좋은 편이다.

학원가는 바로 근처에는 많지는 않은 편이다.
하지만 대치동 학원가, 압구정 학원가가 다 그리 멀지 않아서 라이딩이 용이하다.
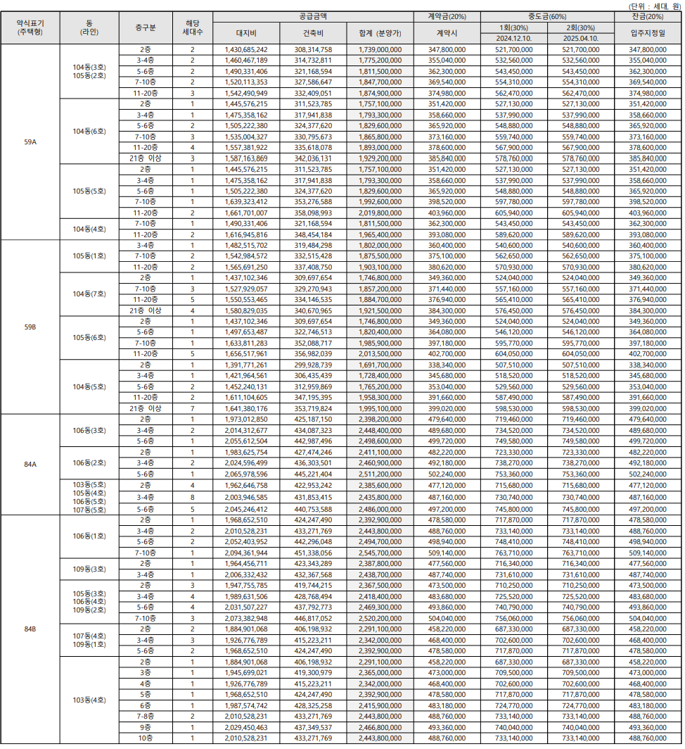
* 청담르엘 분양가

분양가는 취득세 등 고려해서 59 타입은 약 19억 원, 84 타입은 약 25억 원 수준이다.
분양가 상한제 단지라 주변 단지에 비해 저렴하게 나왔다는 의미인데 주변 시세를 한 번 보자.


바로 옆에 있는 708세대 14년 차 청담자이를 보자.
21평형이 약 20억 원에 거래되고 있다. 33평형은 약 30억 원대에 거래되고 있다.
세대수가 더 크고 신축이면서 청담역에 조금은 더 가깝기 때문에 청담르엘은 확실히 로또 청약으로 보인다.
약 5억 원 이상의 시세차익을 예상해 볼 수 있다.
* 청담르엘 청약자격 및 조건

청담자이의 경우 거주의무기간은 없고 전매제한은 3년이다.
서울 2년 이상 거주자면 청약의 자격이 주어진다.

추첨제는 60제곱미터 이하가 60%이고 초과하면 30%다.
59 타입이 84타입 대비 추첨되는 물량이 더 많다.
가점이 낮은 사람들에게는 59타입이 추첨 물량 자체는 더 많다고 볼 수 있다.
하지만 가격대가 84 타입이 더 접근하기 어려워서 경쟁률은 84타입이 더 낮을 것이라고 예상해 본다.
* 청담르엘 청약 일정

청약접수:
특별공급 - 2024년 9월 19일(목)
일반공급 (해당지역) - 2024년 9월 20일 (금)
일반공급 (기타지역) - 2024년 9월 23일 (월)
당첨발표:
2024년 9월 30일 (월)
계약체결:
2024년 10월 14일 (월) ~ 2024년 10월 16일 (수)
입주예정:
2025년 11월
* 행당 라체르보푸르지오 청약을 알아보자!
왕십리에 몇 없는 신축이 들어선다! 행당 라체르보 푸르지오 써밋 분양 (입지, 분양가, 교통, 학
지난 주 디에이치방배의 청약이 끝나고 경쟁률이 높다 아니다 의견이 분분하다. 그러나 어찌되었든 디에이치방배는 분양가 상한제 단지였고 서초구다. 이번에는 분양가 상한제가 적용되지 않
seethroughworld.tistory.com
* 디에이치방배 청약을 알아보자!
서초구 입성을 위한 좋은 기회! 방배동 디에이치방배 분양 (입지, 분양가, 교통, 학군 등)
강남 3구하면 서초구, 강남구 그리고 송파구를 꼽는다. 강남 3구 중 하나인 서초구에 입성할 수 있는 좋은 기회인 청약이 공지되었다. 방배동 재개발로 분양 예정인 방배동 디에이치방배를 알아
seethroughworld.tistory.com
'재테크' 카테고리의 다른 글
| 시세차익이 보장된 강남구 청약이 나온다! 디에이치 대치 에델루이 (입지, 분양가, 교통, 학군 등) (91) | 2024.09.30 |
|---|---|
| 동작구 사당동 무순위 줍줍 로또 청약이 나온다! 이수 푸르지오 더프레티움 (입지, 분양가, 교통, 학군 등) (65) | 2024.09.27 |
| 왕십리에 몇 없는 신축이 들어선다! 행당 라체르보 푸르지오 써밋 분양 (입지, 분양가, 교통, 학군 등) (47) | 2024.09.02 |
| 서초구 입성을 위한 좋은 기회! 방배동 디에이치방배 분양 (입지, 분양가, 교통, 학군 등) (55) | 2024.08.21 |
| 2024 세법 개정안에 따른 상속세 변동을 알아보자 (상속세 내려서 출산장려?) (67) | 2024.08.07 |
댓글