강남구 도곡동에 분양가 상한제 단지 청약이 나온다.
기다리던 강남권 청약이 요즘 몰아서 나오는 중이다.
래미안 원펜타스에 이어 또 다른 래미안인 레벤투스가 나온다.

* 청약 공급 세대수

총 308세대 아파트다.
그 중에서 총 133세대가 청약으로 나온다.
71세대가 일반공급, 62세대가 특별공급이다.
조합원 127세대와 임대 48세대를 제외하고 나머지가 모두 공급된다.
요즘은 임대세대를 모두 넣어서 분양해야 하는 듯하다.
* 도곡동 래미안 레벤투스 입지

수인분당선 한티역과 가장 가깝다.
강남세브란스 병원 앞의 큰길을 따라 일자로 위치하게 되는 단지다.
동쪽으로 큰길 맞은편에 유명한 도곡렉슬 아파트가 있다. 위치도 좋고 학군도 훌륭하다.
* 도곡동 래미안 레벤투스 단지정보

총 308세대 아파트다.
단지수가 그리 크지 않은 것은 아쉬운 부분이다.
그래도 입지가 워낙 좋기 때문에, 강남구 도곡동에 입성할 수 있다는 점만 해도 많은 사람들이 원하는 아파트라고 본다. 게다가 신축아파트니 더욱 그렇다.

20평에서부터 40평까지 소형에서 중대형 평수까지 다양하게 구성되어 있다.
25평이 가장 많이 배치되어 있다. 40평대는 조합원들이 가져간 것으로 보인다.
* 도곡동 래미안 레벤투스 교통

가장 가까운 지하철이 수인분당선 한티역이다.
도보로는 11분 정도 걸려서 역세권까지는 아니지만 이 정도면 그래도 걸을 만은 하다.
버스를 타고 가도 7분 정도 소요되니 그냥 걸어가는 게 낫다고 본다.

가장 많은 직장들이 위치한 강남역까지는 약 20분 정도면 출퇴근 가능하다.
강남구라 강남까지 가까운 건 새삼스럽지 않다.

여의도까지는 약 40분 정도면 출퇴근 가능하다.
40분 정도도 충분히 괜찮다고 본다.

광화문/을지로/종로까지는 45분 정도면 출퇴근이 가능하다.
결국 모든 주요 업무 지구를 50분 내에 출퇴근이 가능하다는 점에서 교통은 매우 우수하다고 볼 수 있다.
* 도곡동 래미안 레벤투스 학군

가장 가까운 초등학교는 서울언주초등학교다.
도보로 상당히 거리가 멀다.

아무래도 어린 초등학생을 도보로 보낼 수는 없을 것 같고, 무조건 라이딩을 해줘야 할 것 같다.
초등학교가 멀다는 게 아쉬운 점이다.

강남구 학군은 굳이 말하지 않아도 정말 훌륭하다.
휘문중 같은 학교는 전국적으로도 유명한 학교다.

레벤투스는 도곡중학교가 가장 가깝다.
단지 바로 뒤라 매우 가까운 게 큰 장점이다.

학원은 전국에서 가장 유명한 도곡동 학원가를 이용할 수 있다.
학군 환경은 정말 좋다고 볼 수 있다. 자녀 키우는 사람들이라면 매우 만족할만하다.
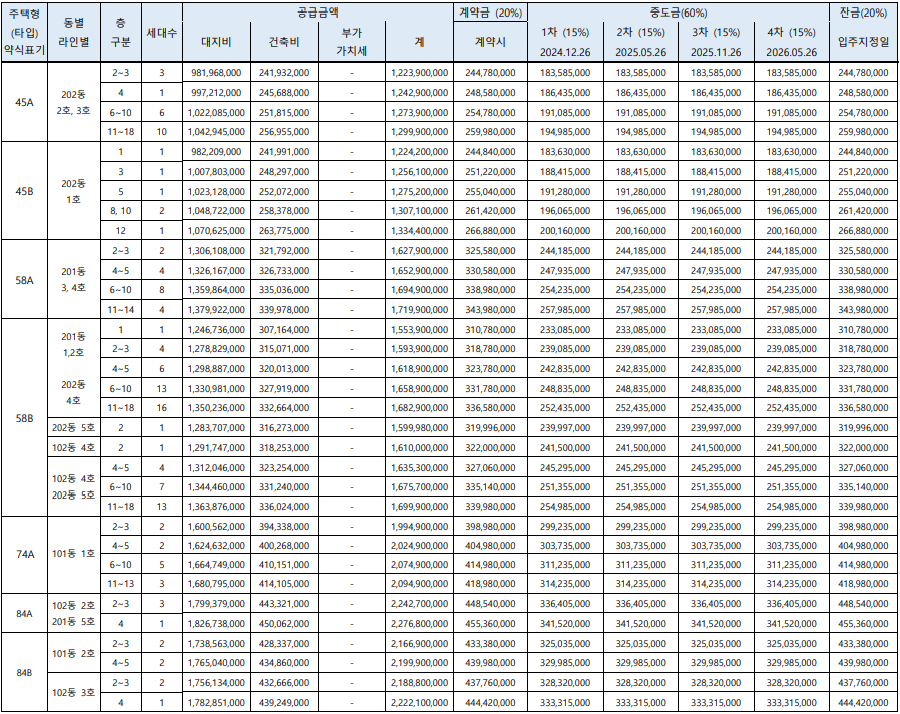
* 도곡동 래미안 레벤투스 분양가

여러 가지 평형이 있지만 전용 58제곱미터 (25평형)과 전용 84제곱미터 (35평형) 두 가지를 위주로 보자.
전용 58제곱미터는 16.5억 ~ 17억 원 수준이고 전용 84제곱미터는 22억 ~ 22.5억 원 수준이다.
최근에 분양가가 나온 반포 래미안 원펜타스랑 분양가가 비슷하다.

바로 옆에 있는 도곡 1차 아이파크의 가격을 보자.
비슷한 321세대 아파트에 18년 차 구축이다.
전용 84제곱미터 기준으로 최근 거래가가 21억 ~ 22억 원이다.


큰길을 대각선으로 가로질러 있는 464세대 래미안그레이튼 2차를 보자. 15년 차 아파트다.
59제곱미터 기준으로는 21억 원, 전용 84제곱미터 기준으로는 26억 원이다.
전용 58제곱미터는 3~4억 정도 안전마진이 있다고 볼 수 있을 듯하다.
전용 84제곱미터도 비슷한 수준이라고 생각된다.
반포 래미안 원펜타스 대비해서는 안전마진이 여유롭지는 않지만 여전히 시세대비 분양가는 좋다.
* 도곡동 래미안 레벤투스 청약조건

서울, 경기, 인천에 사는 만 19세 이상 성년 또는 세대주인 미성년자면 청약이 가능하다 (일반공급 기준).
특별공급은 각각 마다 조건이 있으므로 따로 보면 된다. 대부분 무주택 세대주라는 기준이 들어간다.

45와 58제곱미터의 경우에는 가점제 40% / 추첨제가 60%다. 그 외의 모든 평형은 가점제가 70% / 추첨제가 30%다.
58 제곱이 가장 많이 배정되는데 추첨제도 높아서, 가점으로 승산이 없는 분들은 58 제곱에 집중하면 되겠다.

전매제한은 3년, 거주의무기간은 2년이다.
원펜타스와 마찬가지로 실거주 의무가 유예되면서 바로 전세를 놓을 수는 있다.
대신 실거주 의무 폐지가 아닌 유예라, 전세 한 텀 돌리고서는 들어가 살 생각을 해야 한다.
* 도곡동 래미안 레벤투스 청약일정

청약접수:
특별공급 - 2024년 8월 05일(월)
일반공급 (해당지역) - 2024년 8월 06일 (화)
일반공급 (기타지역) - 2024년 8월 07일 (수)
당첨발표:
2024년 8월 14일 (수)
계약체결:
2024년 8월 27일 (화) ~ 2024년 8월 29일 (목)
입주예정:
2026년 10월
* 반포 래미안 원펜타스 청약을 알아보자
기다리던 강남 청약이 나온다! 반포 래미안 원펜타스 청약 (입지, 분양가, 학군, 교통, 청약일정
많은 사람들이 기다리고 주목하는 서초구 신축아파트 청약이 나온다. 반포 래미안 원펜타스 청약에 대해 알아보자. * 청약 공급 세대수 총 641세대 아파트다. 이 중에서 조합원 304세대, 보류지 8
seethroughworld.tistory.com
'재테크' 카테고리의 다른 글
| 2024 세법 개정안에 따른 상속세 변동을 알아보자 (상속세 내려서 출산장려?) (67) | 2024.08.07 |
|---|---|
| 암호화폐 가상자산 거래소 예치금을 알아보자 (어느 거래소가 예치금 이자가 높을까?) (54) | 2024.08.05 |
| 기다리던 강남 청약이 나온다! 반포 래미안 원펜타스 청약 (입지, 분양가, 학군, 교통, 청약일정 등) (45) | 2024.07.21 |
| 고등동 판교밸리자이 1단지 무순위 청약을 알아보자 (입지, 분양가, 교통, 학군, 청약일정 등) (38) | 2024.07.19 |
| 과천 디에트르 퍼스티지 청약을 알아보자 (입지, 교통, 학군, 분양가, 청약일정 등) (82) | 2024.07.01 |
댓글