많은 사람들이 기다리고 주목하는 서초구 신축아파트 청약이 나온다.
반포 래미안 원펜타스 청약에 대해 알아보자.

* 청약 공급 세대수

총 641세대 아파트다.
이 중에서 조합원 304세대, 보류지 8세대, 임대 37세대를 제외하고 총 292세대가 분양으로 나온다.
특별공급은 114세대, 일반공급은 178세대다.
84A타입, 84B타입, 59A/84C/84D타입 순으로 나오는 세대수가 많다.
* 반포 래미안 원펜타스 입지

입지는 원펜타스에서도 이야기했지만 두 말하면 입 아픈 입지다.
한강변 근처, 서초구 반포동, 학군, 지하철역, 교통 등 어느 하나 빠지는 것이 없다.
지하철역 9호선 신반포역이 가장 가깝다.
반포 아크로리버파크와 바로 단지가 붙어있다.
* 반포 래미안 원펜타스 단지정보

총 641세대 아파트로 주변 다른 대형 단지에 비해서는 작지만 그래도 규모가 괜찮은 수준이다.
요즘은 용적률이 더 높아서 세대수가 많이나오니, 예전 아파트 기준으로는 한 400세대 수준으로 본다.

평형은 가장 작은 평수인 전용 59제곱미터 (24평형)부터 전용 215제곱미터 (86평형)까지 다양하다.
가장 많은 건 전용 59제곱미터와 전용 84제곱미터다.
소형부터 대형까지 평형이 다양하게 있다는 게 아파트 구성을 다채롭게 했다고 보인다.
* 반포 래미안 원펜타스 교통

강남역까지 출퇴근은 25분 정도면 가능하다.
지하철을 타도 되는데 환승 안 해도 되는 버스가 더 편할 것 같다.

여의도까지 마찬가지로 약 25분 정도면 출퇴근이 가능하다. 지하철 9호선 타면 한 번에 가니 아주 편리하다.

광화문/을지로/종로도 약 35분 정도면 출퇴근이 가능하다.
버스가 가장 빠른데 버스는 교통체증이 있을 수 도 있는 점은 감안해야 한다.
대부분의 주요 업무지구를 40분 안에 모두 오갈 수 있다는 데서 교통이 매우 좋다는 것을 알 수 있다.
* 반포 래미안 원펜타스 학군

반포 학군이 좋다는 것도 굳이 설명을 할 필요는 없겠다. 바로 근처에 있는 계성초등학교가 도보 5분 내에 통학이 된다.

중학교 학군도 훌륭하다.
여자아이는 세화여중, 남자는 신반포중학교나 반포중학교다.

학원가도 반포동 학원가가 인접하고 마음먹으면 대치까지 라이딩하기도 너무 부담되지는 않는다.
학군도 그냥 탑티어 수준이다.
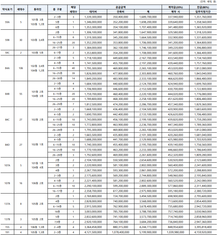
* 반포 래미안 원펜타스 분양가

평형이 다양한데 가장 많은 59제곱미터 (24평형)과 84제곱미터 (33, 34평형) 기준으로 알아보자.
17억 원 ~ 23억원 정도다. 59제곱미터는 17억원 수준이고 84제곱미터가 22억 원에서 23억 원 정도다.
분양가가 어마어마하지만 현재 주변 거래되고 있는 시세에 비하면 매우 저렴하다.
분양가 상한제 단지라 가능하다.


최근 분양한 약 3,000세대의 래미안 원베일리다.
59 제곱은 약 30억 원, 84 제곱은 약 42억 원이다.


길 건너편의 비슷한 규모지만 13년 차 구축인 반포힐스테이트다.
59 제곱은 25억 원, 84 제곱은 33억 원이다.


길 맞은편이자 반포힐스테이트 옆이면서 약 2,500세대 16년 차 래미안퍼스티지다.
전용 59제곱은 31억 원, 84제곱은 40억 원 수준이다. 이렇게 보면 현재 시세 기준으로 분양받으면 최소 약 10억 원 이상 싸게 사는 셈이다.
그래서 로또분양이라는 말이 나온다.
* 반포 래미안 원펜타스 청약조건

서울, 경기, 인천에 사는 만 19세 이상 성년 또는 세대주인 미성년자면 청약이 가능하다 (일반공급 기준).
특별공급은 각각 마다 조건이 있으므로 따로 보면 된다. 대부분 무주택 세대주라는 기준이 들어간다.

전매제한은 3년, 거주의무기간도 3년이다.
그러나 둔춘주공 이후 실거주 의무가 유예되면서 바로 전세를 놓을 수는 있다. 대신 실거주 의무 폐지가 아닌 유예라, 전세 한 텀 돌리고서는 들어가 살 생각을 해야 한다.

59제곱미터의 경우에는 가점제 40% / 추첨제가 60%다. 그 외의 모든 평형은 가점제가 70% / 추첨제가 30%다.
가점제가 어려운 분들은 어떻게 청약을 해야 유리할지를 잘 생각해봐야 한다.
참고로 후분양이라 자금 계획도 다 고민해봐야 한다. 바로 8월 달에 입주하게 된다.
* 반포 래미안 원펜타스 청약일정

청약접수:
특별공급 - 2024년 7월 29일(월)
일반공급 (1순위 해당지역) - 2024년 7월 30일 (화)
일반공급 (2순위 기타지역) - 2024년 7월 31일 (수)
당첨발표:
2024년 8월 7일 (수)
계약체결:
2024년 8월 19일 (월) ~ 2024년 8월 21일 (수)
입주예정:
2024년 8월
* 고등동 판교밸리자이 1단지 무순위 청약
고등동 판교밸리자이 1단지 무순위 청약을 알아보자 (입지, 분양가, 교통, 학군, 청약일정 등)
성남 고등동에서 무순위 줍줍 청약이 나온다. 무순위 줍줍답게 딱 1세대가 나오지만 분양가 상한제라 시세차익을 기대해 볼 수 도 있을 것 같다. 또한 실거주를 하겠다고 하면 괜찮을지도 한 번
seethroughworld.tistory.com
* 마포자이힐스테이트 라첼스 청약
올해 강북 단지 최고 기대주 마포자이힐스테이트 라첼스 청약을 알아보자 (입지, 교통, 학군, 분
개인적으로도 기다리던 상반기 서울 강북 쪽 청약 대어가 나왔다. 중상위 입지에서 가장 인기가 좋은 마포 공덕 쪽의 새로운 아파트다. 마포자이힐스테이트 라첼스의 청약을 알아보자. * 청약
seethroughworld.tistory.com
* 파크라움 여의도 오피스텔 청약
파크라움 여의도 오피스텔 청약을 알아보자 (파크라움 여의도 입지, 교통, 가격, 학군 등)
오피스텔은 투자하는 게 아니라는 의견이 지배적이다. 그러나 오피스텔도 입지에 따라서는 괜찮은 경우도 있고, 꼭 최상의 투자결과를 내기 위함이 아니라 실제로 필요한 사람이 있을 수도 있
seethroughworld.tistory.com
* 트리우스 광명 무순위 청약
트리우스 광명 무순위 청약 3차 진행! (트리우스 광명 입지, 교통, 학군, 분양가 등)
요즘 부동산 시장이 아무래도 전보다 침체되어있다 보니 무순위로 나오는 아파트들이 꽤 있다. 이번에는 광명에서 무순위 3차 청약이 진행되는 '트리우스 광명'에 대해서 알아보자. 광명은 경기
seethroughworld.tistory.com
'재테크' 카테고리의 다른 글
| 암호화폐 가상자산 거래소 예치금을 알아보자 (어느 거래소가 예치금 이자가 높을까?) (54) | 2024.08.05 |
|---|---|
| 강남구 도곡동에 대박 청약이 나온다! 도곡동 래미안 레벤투스 분양 (입지, 분양가, 교통, 학군 등) (60) | 2024.07.28 |
| 고등동 판교밸리자이 1단지 무순위 청약을 알아보자 (입지, 분양가, 교통, 학군, 청약일정 등) (38) | 2024.07.19 |
| 과천 디에트르 퍼스티지 청약을 알아보자 (입지, 교통, 학군, 분양가, 청약일정 등) (82) | 2024.07.01 |
| 올해 강북 단지 최고 기대주 마포자이힐스테이트 라첼스 청약을 알아보자 (입지, 교통, 학군, 분양가, 청약일정 등) (90) | 2024.06.24 |
댓글